.

.

  • RFID News Home
  • The Controversial ISO 11784/85 standard
    • En espanol
    • Latest updates
    • ISO 11784/85 - A short discussion
    • What the manufacturers say
    • What the user groups say
  • General RFID News
  • Applications
  • RSS News Feed
  • Search
  • Site Map

SubISO

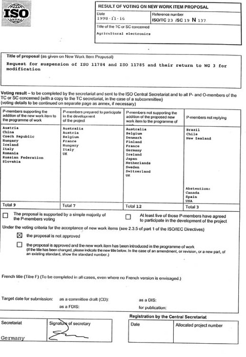
n137nov

BACK

© 2009